『1次元モデルでの光量密度の最大値と最小値』 デジタル一眼カメラすべて PAMdiracさんのクチコミ掲示板画像1/2
ホーム
>
カメラ
>
デジタル一眼カメラ
>
画像1/2
Tweet
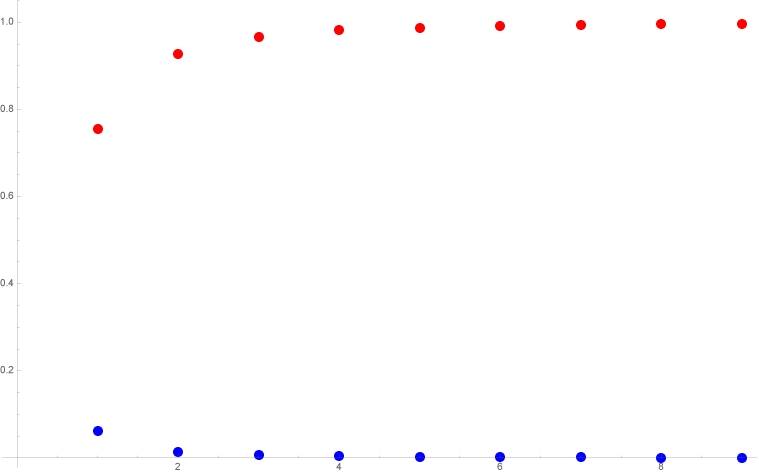
1次元モデルでの光量密度の最大値と最小値
投稿者名
[21936204]
PAMdirac
さん
撮影日時
カメラ機種
レンズ名
シャッター速度
焦点距離
絞り数値
露出補正
ISO感度
フラッシュ
[21936204] PAMdiracさんの画像一覧
1次元モデルでの光量密度の最大値と最小値
画素あたり光量密度の最大値と最小値の差
このウィンドウを閉じる